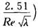
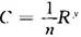
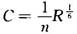
7.2 水力计算 7.2.1~7.2.4 输配水管道水力计算包含沿程水头损失和局部水头损失计算,其中沿程水头损失为管道主要的水头损失。 输配水管道水流流态基本处在紊流过渡区和粗糙区,水流阻力与水的黏滞力、水流速度、管壁粗糙度有关,不同管材内壁光滑度差异较大,管道水力计算时一般根据不同品种的管材选择不同的水力计算公式。 塑料管和采用塑料内衬的管道,管内壁较光滑,水流一般处在紊流过渡区,水力计算采用半理论半径验的达西公式(Darcy),即;而其中公式中λ采用柯尔勃洛克-怀特 (Colebrook-White)紊流过渡区公式,即,其中,△可采用本标准附录A表A.0.1中的建议值。 混凝土管及采用水泥砂浆内衬管道,管内壁较粗糙,水流一般处在紊流粗糙区,水力计算宜采用谢才(Chezy)经验公式,即hy=;其中的C可按巴普洛夫斯基公式计算,y=2.5;为了方便计算y也常采用,这时,这就演变成曼宁公式(Manning)。摩阻系数n可按照本标准附录A表A.0.1中的建议值选用。 输配水管道水力计算也常采用海曾-威廉公式(Hazen-Williams),该公式适用于管壁较光滑,水流处于紊流过渡区的管道。,其中Ch可按照本标准附录A表A.0.1中的建 议值选用。 管道局部水头损失计算可根据管道水流的边界条件,按照相关实测的局部水头阻力系数计算,管线水平向和竖向顺直时,局部水头损失一般占沿程水头损失的5%~10%。 管网水力平差计算宜选用海曾-威廉公式,即hy=。